Assegno unico 2025: A partire da febbraio 2025, l’assegno unico 2025 diventerà più generoso grazie all’adeguamento al costo della vita previsto dal decreto legislativo n. 230 del 29 dicembre 2021. Questa misura, come altre prestazioni erogate dall’Inps, è direttamente collegata all’andamento dell’inflazione e subisce aggiornamenti periodici.
Secondo quanto stabilito dall’ente previdenziale in una circolare pubblicata il 4 febbraio, per l’anno 2025 la maggiorazione sarà dello 0,8%. Inoltre, l’Inps ha chiarito che gli importi aggiornati relativi alla mensilità di gennaio, che non sono stati ancora erogati, verranno corrisposti a partire da marzo 2025.
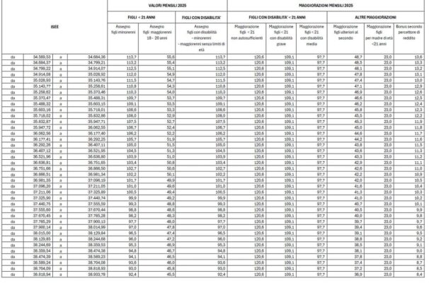
Ecco tutte le nuove cifre e le maggiorazioni previste.
A chi spetta l’assegno unico 2025
L’assegno unico è stato introdotto a marzo 2022 per unificare e semplificare il sistema di sostegno economico alle famiglie con figli a carico. Il contributo viene erogato dall’Inps a:
- Figli minorenni a partire dal settimo mese di gravidanza;
- Figli maggiorenni fino a 21 anni, se frequentano un corso di formazione scolastica o professionale, hanno un reddito inferiore a 8.000 euro annui o risultano disoccupati in cerca di lavoro;
- Figli con disabilità a carico, senza alcun limite di età .
I nuclei familiari che già percepiscono l’assegno non devono presentare una nuova domanda: il rinnovo avviene in automatico.
Importi e maggiorazioni per il 2025
Per il 2025, gli importi dell’assegno unico 2025 sono stati leggermente aumentati rispetto all’anno precedente. L’importo minimo sarà di 57,5 euro (con un aumento di 50 centesimi), mentre quello massimo arriverà a 201 euro, destinato alle famiglie con un ISEE fino a 17.222,33 euro.
Sono inoltre previste diverse maggiorazioni:
- +50% per i figli di età inferiore a un anno;
- +50% per le famiglie con almeno tre figli e ISEE inferiore alla soglia massima;
- Maggiorazione forfettaria di 150 euro per i nuclei con almeno quattro figli.
Grazie a questi adeguamenti, l’assegno unico 2025 si conferma un importante strumento di sostegno economico per le famiglie italiane, garantendo maggiore equità e supporto alle fasce di reddito più basse.
Le tabelle dell’assegno unico 2025:



















